1. Tujuan [Kembali]
- Dapat memahami materi op-amp basics.
- Dapat memahami rangkaian op-amp basics.
- Dapat mensimulasikan rangkaian op-amp basics.
- Osiloskop
- Multimeter
Merupakan alat untuk mengukur tegangan dan arus pada suatu circuit. Dalam menggunakannya kita memparalelkan voltmeter dengan rangkaian yang ingin diukur besar tegangannya. Jika tegangan berupa tegangan DC maka pengalinya di set pada bagian DC, dan jika AC maka diset pada bagian AC. Hasil pada layar akan dikali dengan pengalinya terlebih dahulu, maka akan muncul nilai tegangan pada rangkaian
Spesifikasi:
Pinout
Generator Daya
1) Signal Generator
Signal generator berfungsi untuk memberikan input berupa tegangan AC pada rangkaian.
Spesifikasi:
2) Power Suply
Berfungsi sebagai sumber daya bagi sensor ataupun rangkaian.
Spesifikasi:
Input voltage: 5V-12VOutput voltage: 5VOutput Current: MAX 3AOutput power: 15Wconversion efficiency: 96%

Jenis Resistor yang digunakan disini adalah Fixed Resistor, dimana merupakan resistor dengan nilai tetap terdiri dari film tipis karbon yang diendapkan subtrat isolator kemudian dipotong berbentuk spiral. Keuntungan jenis fixed resistor ini dapat menghasilkan resistor dengan toleransi yang lebih rendah.
Cara menghitung nilai resistor:
Contoh :Gelang ke 1 : Coklat = 1Gelang ke 2 : Hitam = 0Gelang ke 3 : Hijau = 5 nol dibelakang angka gelang ke-2; atau kalikan 105Gelang ke 4 : Perak = Toleransi 10%Maka nilai resistor tersebut adalah 10 * 105 = 1.000.000 Ohm atau 1 MOhm dengan toleransi 10%.
Spesifikasi:
Op-Amp adalah salah satu dari bentuk IC Linear yang berfungsi sebagai Penguat Sinyal listrik. Sebuah Op-Amp terdiri dari beberapa Transistor, Dioda, Resistor dan Kapasitor yang terinterkoneksi dan terintegrasi sehingga memungkinkannya untuk menghasilkan Gain (penguatan) yang tinggi pada rentang frekuensi yang luas. Dalam bahasa Indonesia, Op-Amp atau Operational Amplifier sering disebut juga dengan Penguat Operasional.
Konfigurasi PIN LM741:
3. Kapasitor
Nilai kapasitor (104J) : 10 * 10^4 pF = 10^5 pF = 100nF; toleransi 5% = ± 95nF sampai 105nFKapasitor adalah komponen elektronika pasif yang dapat menyimpan muatan listrik dalam waktu sementara.Cara menghitung nilai kapasitor :1. Masukan 2 angka pertama langsung untuk nilai kapasitor.2. Angka ke-3 berfungsi sebagai perpangkatan (10^n) nilai kapasitor.3. Satuan kapasitor dalam piko farad.4. Huruf terakhir menyatakan nilai toleransi dari kapasitor.
Daftar nilai toleransi kapasitor :B = 0.10pFC = 0.25pFD = 0.5pFE = 0.5%F = 1%G = 2%H = 3%J = 5%K = 10%M = 20%Z = + 80% dan -20%
Pinout:
3. Dasar Teori [Kembali]
- 
 14.10 Basic Op amp 
 Penguat operasional adalah penguat yang sangat tinggi yang memiliki impedansi masukan sangat tinggi (biasanya beberapa megohms) dan impedansi keluaran rendah (kurang dari 100Ω). Rangkaian dasar dibuat menggunakan penguat berbeda yang memiliki dua input (positif dan negatif) dan setidaknya satu output. Seperti dibahas sebelumnya, input positif (+) menghasilkan output fase yang sama dengan sinyal yang diterapkan, sedangkan input ke input negatif (-) menghasilkan polaritas output yang berlawanan. Tegangan output ditampilkan sebagai penguatan gain dikalikan dengan sinyal input yang diambil melalui impedansi output, Ro, yang biasanya sangat rendah. Rangkaian op-amp yang ideal akan memiliki nilai impedansi input tak hingga, nilai impedansi keluaran nol, dan nilai penguat tegangan tak hingga.
  (a) Praktis (b) Ideal 
- Op-Amp Dasar
 Rangkaian yang ditunjukkan menggunakan operasi sebagai constant-gain multiplier. Sinyal input, V1, diterapkan melalui resistor R1 ke input negatif. Output kemudian dihubungkan kembali ke input negatif yang sama melalui resistor Rf. Input positif terhubung ke ground. Karena sinyal V1 diaplikasikan pada input negatif, output yang dihasilkan berlawanan secara bertahap dengan sinyal input.
  14.12 
 
- Gambar 14.13a menunjukkan op-amp diganti dengan rangkaian ekivalen AC-nya. Jika kita menggunakan rangkaian ekivalen op-amp yang ideal, maka rangkaian ekivalen AC tersebut ditunjukkan pada Gambar 14.13b. Rangkaian kemudian digambar ulang, seperti yang ditunjukkan pada Gambar 14.13c.
  - 14.13 
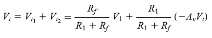
 Dengan menggunakan superposisi, kita dapat menyelesaikan V1 dalam hal komponen yang disebabkan oleh masing-masing sumber. Sumber hanya V1(-AvVi diatur ke nol).
 
 Sumber hanya -AvVi (V1 diatur ke nol).
 
 Maka total Vi adalah
 
 Yang dapat diselesaikan untuk Vi menjadi
 
 Jika Av >> 1 dan AvR1 >> Rf, maka
- Dengan menyelesaikan Vo/Vi, kita dapatkan
 
 Jadi,
 
 Hasil, pada persamaan. (14.8), menunjukkan bahwa perbandingan output keseluruhan dengan tegangan input hanya bergantung pada nilai resistor R1 dan Rf — membuktikan bahwa Av sangat besar.
 
 Unity Gain
 
 Jika Rf = R1, penguatannya adalah
 
 Jika Rf persis sama dengan R1, maka penguatan tegangannya sama dengan 1.
 
 Constant Magnitude Gain (Penguatan Magnitudo Konstan)
 
 Jika Rf adalah kelipatan dari R1, penguatan amplifier keseluruhan bernilai konstan. Misalnya, jika Rf = 10R1, maka
 
 dan rangkaian memberikan penguatan tegangan bernilai 10 dengan inversi fase 180° dari sinyal input. Jika kita memilih nilai resistor yang tepat untuk Rf dan R1, kita dapat memperoleh berbagai macam penguatan, penguatannya menjadi seakurat resistor yang digunakan dan hanya sedikit dipengaruhi oleh suhu dan faktor rangkaian lainnya.
 
 Virtual Ground
 
 Tegangan keluaran dibatasi oleh tegangan suplai, biasanya, beberapa volt. Seperti yang dinyatakan sebelumnya, penguatan tegangan sangat tinggi. Jika misalnya, Vo = -10 V dan Av = 20.000, maka tegangan input akan menjadi
 
 Konsep virtual short menyiratkan bahwa meskipun tegangan hampir 0 V, tidak ada arus melalui input penguat ke ground. Gambar 14.14 menggambarkan konsep ground virtual. Garis tebal digunakan untuk menunjukkan bahwa kita dapat mempertimbangkan bahwa ada hubung singkat dengan Vi ≈ 0 V, tetapi karena ini adalah hubung singkat virtual, sehingga tidak ada arus melewati hubung singkat ke tanah. Arus hanya melalui resistor R1 dan Rf seperti yang ditunjukkan pada gambar.
  14.14 
 Dengan menggunakan konsep virtual ground, kita dapat menulis persamaan untuk I saat ini sebagai berikut:
 
 Yang dapat diselesaikan untuk Vo/V1:
 
 Konsep virtual ground, yang tergantung pada Av yang sangat besar, memungkinkan solusi sederhana untuk menentukan penguatan tegangan keseluruhan. Meskipun rangkaian Gambar 14.14 secara fisik tidak benar, hal ini memungkinkan cara yang mudah untuk menentukan kenaikan tegangan keseluruhan
- 1. Resistor

Jenis Resistor yang digunakan disini adalah Fixed Resistor, dimana merupakan resistor dengan nilai tetap terdiri dari film tipis karbon yang diendapkan subtrat isolator kemudian dipotong berbentuk spiral. Keuntungan jenis fixed resistor ini dapat menghasilkan resistor dengan toleransi yang lebih rendah.
Cara menghitung nilai resistor:
Contoh :Gelang ke 1 : Coklat = 1Gelang ke 2 : Hitam = 0Gelang ke 3 : Hijau = 5 nol dibelakang angka gelang ke-2; atau kalikan 105Gelang ke 4 : Perak = Toleransi 10%Maka nilai resistor tersebut adalah 10 * 105 = 1.000.000 Ohm atau 1 MOhm dengan toleransi 10%.
Op-Amp adalah salah satu dari bentuk IC Linear yang berfungsi sebagai Penguat Sinyal listrik. Sebuah Op-Amp terdiri dari beberapa Transistor, Dioda, Resistor dan Kapasitor yang terinterkoneksi dan terintegrasi sehingga memungkinkannya untuk menghasilkan Gain (penguatan) yang tinggi pada rentang frekuensi yang luas. Dalam bahasa Indonesia, Op-Amp atau Operational Amplifier sering disebut juga dengan Penguat Operasional.
Konfigurasi PIN LM741
B = 0.10pF
C = 0.25pF
D = 0.5pF
E = 0.5%
F = 1%
G = 2%
H = 3%
J = 5%
K = 10%
M = 20%Z = + 80% dan -20%
Pinout:
- 
Prinsip kerja sebuah operasional Amplifier (Op-Amp) adalah membandingkan nilai kedua input (input inverting dan input non-inverting), apabila kedua input bernilai sama maka output Op-amp tidak ada (nol) dan apabila terdapat perbedaan nilai input keduanya maka output Op-amp akan memberikan tegangan output.
14.12










.jpeg)

























 
